Alper ÖNER - Blog

BÜYÜK VERİ KÜMELERİNDE KARAR AĞACI (Decision Tree in Very Large Data Sets) MAKALE

2020-07-30 23:00:55700 okunma
Alper Şahin ÖNER - KIRIKKALE ÜNİVERSİTESİ BİLGİSAYAR MÜHENDİSİ alpersahinoner@gmail.com

Özet
Sınıflandırma,veri kümelerini birbirinden ayrı tanımlayıp bir model ortaya çıkarma işidir.Bu ayırmanın yapılması için modeller kullanılır.Bu yöntemlerden biri olan karar ağacı indüksiyonunda bu sınıflandırmayı yapmak mümkündür.Fakat veri kümelerimizin boyutu arttığında veri kümesine göz atmak çok zaman alıcı olacaktır.Bu yüzden, veri kümesini kullanacağınız bir biçimde hazırlamak ve veri alanları hakkında daha doğru sonuçlar çıkarmak için bir ajan yerlestirilecek ve veri kümesinin verilerine bağlı olarak, sınıflar için göze çarpan kategorileri ajanımız seçicektir.[1] Ayrıca makalede,veri kümesinden ajanımızın kategorik seçim kurallarını oluşturup eğitim setini oluşturmaya yönelik bir yaklaşımı açıklamaktadır.

1-GİRİŞ

Gün geçtikçe veri setlerimiz oldukça büyüyor veya daha iyi sonuçlar almak için veri setlerini büyütüyoruz.Ama ne kadar veri setlerini büyütsekte çok büyük veri kümelerine veri madenciliği uygulamak her satırın kontrolü,ifade edilmesi oldukça zaman alıcıdır.Kullanıcılar,görüntülenecek bir veri kümesinin ihtiyacı olanı veya daha belirgin olan özelliklerini belirleyerek göze çarpan kavram örneklerinden sonuçlar çıkartabilir.Sınıflandırma yapıtığımız karar ağacında bu veri kümesini bölümleyerek (n bölüme m tane paralel bölüm şeklinde) karar ağaçları oluşturulur.Oluşturulan birden çok karar ağaçları Chan ve Stolfo’nun çalışmalarından[2,3] yararlanılarak birleştirilir.Bu birleştirme bazı kurallara göre birleştirilir.
Amacımız, birden fazla oluşan ağacı belirli kurallara göre ayırıp birleştirmektir.Bu ajanımız ise verilerin n alt kümelerinde bağımsız olarak yapıldıktan sonra tek bir karar sistemine sahip olmaya çalışmasıdır[1].Burada kullanacağım C4.5 algoritması büyük veri setlerini için kullanılmaktadır.

2-KARAR AĞAÇLARI VE KARAR AĞACI ALGORİTMA

Karar ağaçları, sınıflandırma ve tahmin için sıkça kullanılan bir veri madenciliği yaklaşımıdır.
Karar ağaçları;
• Düşük maliyetli olması,
• Anlaşılmasının, yorumlanmasının ve veri tabanları ile entegrasyonun kolaylığı,
• Güvenilirliklerinin iyi olması gibi nedenlerden ötürü en yaygın kullanılan sınıflandırma tekniklerinden biridir.[4]
Büyük veri seti için C4.5 daha doğru sonuçlar için C5.0 algoritması kullanılır.

3-C4.5 VE C5.0 ALGORİTMASI

Algoritmalarda,her düğümden çıkan çoklu dallar ile ağaç oluşturur.Algoritmalar büyük veritabanlarına karşı kullınılır.Ayrıca dalların sayısı bilinmeyen nitelik değerlerinin sayısına eşittir.Tek bir sınıflayıcı da birden çok karar ağacını birleştirir. Ayırma işlemi için bilgi kazancı kullanır.Budama işlemi her yapraktaki hata oranına dayanır.Hafızanın %90 oranda iyileştirildiği gözlemlenmiştir.Kurallar ile kurulan algoritmada eğer eğitim setindeki tüm kayıtlar özdeş olarak işleniyorsa,kuralın sol tarafını daha basit benzerlikte ola ile değiştirmektedir.

4-VERİ SETİNİ BÖLME VE KURALLARIN BELİRLENMESİ

Karar ağacında her düğümde bir öznitelik ve her dal testin sonucunu gösterir.Biz burada C4.5 yola cıkarak öğrenme kümesi ve veri setindeki en ayırt edici özellik belirlenerek ağacın kökü olarak alınır.
C4.5 gibi karar ağacı algoritmalarında en ayırt edici özelliklerin belirlenmesi için Bilgi Kazancı(Information Gain) hesaplanır.Bilgi Kazancının hesaplanmasında Entropi kullanılır.Entropi sistemdeki belirsizliğin ve düzensizliği ölmek için bulunur.[4]
498092554925337.JPG image
#Formül-1
312781991243672.JPG image
#Formül-2
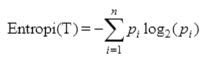
Bir veri setinin {C1,C2,....,Ck} şeklinde birden fazla sınıftan oluştuğunu ve T’nin sınıf değerlerini gösterdiğini düşündüğümüzde,bir sınıfa ait olasılık Pi=(Ci/|T|) olur ve sınıflara ait entropi #Formül-1 ile hesaplanır.[6]
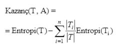
Veri setindeki A özniteliğine göre T sınıfının değerleri T1,T2,...,Tn şeklinde alt kümelere ayrıldığını varsayalım.A öznitelik değerleri kullanılarak T sınıf değerlerinin bölünmesi sonucunda elde edeceğimiz kazancı hesaplamak için #Formül-2 kullanılır.[4]
164252225942272.JPG image
#Formül-3
T kümesi için A özniteliğinin değerini belirlemek için #Formül - 3 ile hesaplanan bölümleme bilgisi kullanılır.
499681654625130.JPG image
#Formül-4
Son olarak,kazanç oranı #Formül-4 ile elde edilir.Kazanç oranı,sınıflandırma işleminde kullanacağımız ayırma ile elde edilen bilgi oranını verir. Kazanç oranı en yüksek olan öznitelik,dallanma için tercih edilecek nitelik olacaktır.[4]
Ağacın çocuk düğümü olan A düğümüne ait alt veri kümesi belirlenir.Her alt küme için tekrar bilgi kazancı hesaplanarak en ayırt edici özellik belirlenir.Bu işlemler her düğüm için aşağıdaki durumlardan biri oluşuncaya kadar devam eder:
> Örneklerin hepsinin aynı sınıfa ait olması
> Örnekleri bölecek özellik kalmamış olması
> Kalan özelliklerin değerini taşıyan örnek bulunmaması[4]

5-BİRLEŞTİRME VE SONUÇ

Oluşturulan ağaçlar birbirleriyle ilişkişi olan kurallara göre birleştirme yapılacaktır.Birleştirme benzer koşullarda sorulan dallar aynı olarak kabul edilecek ve ağaçların ucu benzer olana göre birleştirme yapılacaktır. Karar ağacının oluşturulmasından sonra,budama işlemi ile karar ağacının sınıflandırma doğruluğunu etkilemeyen veya katkısı olmayan bölümleri çıkartılır.Böylece gürültülü veriler elenmiş,daha başarılı ve karmaşıklığı daha az olan bir ağaç elde edilmiş olur.

Kaynaklar

[1]. ‘’Decision Tree Learning on Very Large Data Sets’’.
https://www.researchgate.net/publication/3776339_Decision_tree_learning_on_very_large_data_sets

[2] L. Breiman, J.H. Friedman, R.A. Olshen, P.J. Stone, Classification and Regression Trees, Wadsworth In-ternational Group, Belmont, CA. 1984. [br] https://rafalab.github.io/pages/649/section-11.pdf

[3] P. Chan and S. Stolfo, “Sharing learned models among remote database partitions by local meta- learning”, Proceedings Second International Con-ference on Knowledge Discovery and Data Mining,pp. 2-7, 1996.
https://www.researchgate.net/publication/2749685_Sharing_Learned_Models_among_Remote_Database_Partitions_by_Local_Meta-learning

[4]. Aslı ÇALIŞ, Sema KAYAPINAR*, Tahsin ÇETİNYOKUŞ.10 Eylül 2014. “Veri madenciliğinde karar ağacı algoritmaları ile bilgisayar ve internet güvenliği üzerine bir uygulama” Gazi Üniversitesi Endüstri Mühendisliði Dergisi, Cilt: 25 Sayý: 3-4 Sayfa: (2-19).
https://www.mmo.org.tr/sites/default/files/ab225c69b017f13_ek.pdf
büyükveri desiciontree verylargedataset

Yorumlar
Yorum yapabilirsiniz.
Onaylandıktan sonra yorumlarınız paylaşılacaktır.